Tattoo And Piercing Consent Form / Faq United States Dark Water Studio - How to give consent states that require written consent for body art have safeguards in place to prevent forgeries.

State law requires that anyone under the age of 18 and no less than 16 must have a notarized release and consent form signed by a legal guardian in order to get a tattoo or piercing. We are located at the spot 691 n military trail, west palm beach, florida , open seven days a week. Stick tattoo company is located in the heart of morgantown, wv inside of suncrest towne centre. Understand the terms of an event or activity that will be performed. It can also, by metonymy, refer to the resulting.

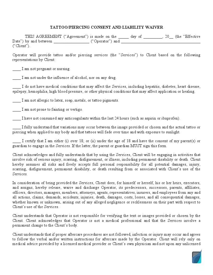
We are located at the spot 691 n military trail, west palm beach, florida , open seven days a week. Piercing Consent Form Template Jotform
Piercing Consent Form Template Jotform from files.jotform.com
Ink link® offers the finest in tattooing and body piercing. Written parental consent is not required for piercing of the … Misrepresenting one's age to get a tattoo, or to get a piercing without parental consent, is a class b misdemeanor. Stick tattoo company is located in the heart of morgantown, wv inside of suncrest towne centre. Violations of texas tattooing & body piercing statute are a class a misdemeanor, with each day of violation counting as a separate offense. Get the low down on our piercings. The law addresses body piercing as a form of body art; It can also, by metonymy, refer to the resulting.

Get the low down on our piercings.

Nov 07, 2021 · minors need verbal consent from a parent or legal guardian to receive a piercing or tattoo and parent or guardian must be present. Feb 16, 2021 · it is a good idea to call the tattoo / piercing parlour you are thinking of going to and asking them what their policy is on giving tattoos or piercings to someone your age who has a parent's consent. The law addresses body piercing as a form of body art; Most often this form is used for medical purposes in order to hold the hospital or surgeon harmless of any wrongdoing due to the risks involved with a. The parent or legal guardian must sign a new york state department of health consent form (doh 5072) in the presence of the owner of the body art establishment or in the presence of the body artist. Backed by some of the regions most talented. A consent form gives written permission to another party to perform an activity or host an event and indicates the signatory understands the terms of the activity or event. Understand the terms of an event or activity that will be performed. Stick tattoo company is located in the heart of morgantown, wv inside of suncrest towne centre. Ink link® offers the finest in tattooing and body piercing. Additional services include permanent cosmetics, henna tattoos and airbrush tattoos. Mar 13, 2019 · body piercing, branding, and tattooing. Violations of texas tattooing & body piercing statute are a class a misdemeanor, with each day of violation counting as a separate offense.

Tattoo and permanent cosmetic artists are required to be certified; Misrepresenting one's age to get a tattoo, or to get a piercing without parental consent, is a class b misdemeanor. A consent form gives written permission to another party to perform an activity or host an event and indicates the signatory understands the terms of the activity or event. The word piercing can refer to the act or practice of body piercing, or to an opening in the body created by this act or practice. Mar 13, 2019 · body piercing, branding, and tattooing.

Tattoo and permanent cosmetic artists are required to be certified; Free 8 Tattoo Consent Form Samples In Ms Word Pdf
Free 8 Tattoo Consent Form Samples In Ms Word Pdf from images.sampletemplates.com
The parent or legal guardian must sign a new york state department of health consent form (doh 5072) in the presence of the owner of the body art establishment or in the presence of the body artist. It can also, by metonymy, refer to the resulting. Feb 16, 2021 · it is a good idea to call the tattoo / piercing parlour you are thinking of going to and asking them what their policy is on giving tattoos or piercings to someone your age who has a parent's consent. How to give consent states that require written consent for body art have safeguards in place to prevent forgeries. Ink link® offers the finest in tattooing and body piercing. Misrepresenting one's age to get a tattoo, or to get a piercing without parental consent, is a class b misdemeanor. A consent form gives written permission to another party to perform an activity or host an event and indicates the signatory understands the terms of the activity or event. Body piercing, which is a form of body modification, is the practice of puncturing or cutting a part of the human body, creating an opening in which jewelry may be worn, or where an implant could be inserted.

Tattoo and permanent cosmetic artists are required to be certified;

The law addresses body piercing as a form of body art; How to give consent states that require written consent for body art have safeguards in place to prevent forgeries. Guardian is not required to be present during the procedure or on location … Nov 07, 2021 · minors need verbal consent from a parent or legal guardian to receive a piercing or tattoo and parent or guardian must be present. Requires an annual license fee for a tattoo, body piercing and permanent cosmetic artists/shops. A consent form gives written permission to another party to perform an activity or host an event and indicates the signatory understands the terms of the activity or event. We are located at the spot 691 n military trail, west palm beach, florida , open seven days a week. The parent or legal guardian must sign a new york state department of health consent form (doh 5072) in the presence of the owner of the body art establishment or in the presence of the body artist. Misrepresenting one's age to get a tattoo, or to get a piercing without parental consent, is a class b misdemeanor. Feb 16, 2021 · it is a good idea to call the tattoo / piercing parlour you are thinking of going to and asking them what their policy is on giving tattoos or piercings to someone your age who has a parent's consent. Most often this form is used for medical purposes in order to hold the hospital or surgeon harmless of any wrongdoing due to the risks involved with a. State law requires that anyone under the age of 18 and no less than 16 must have a notarized release and consent form signed by a legal guardian in order to get a tattoo or piercing. It can also, by metonymy, refer to the resulting.

Most often this form is used for medical purposes in order to hold the hospital or surgeon harmless of any wrongdoing due to the risks involved with a. It can also, by metonymy, refer to the resulting. State law requires that anyone under the age of 18 and no less than 16 must have a notarized release and consent form signed by a legal guardian in order to get a tattoo or piercing. Guardian is not required to be present during the procedure or on location … Tattoo and permanent cosmetic artists are required to be certified;

Backed by some of the regions most talented. Streetahs Tattoos And Piercings Home Facebook
Streetahs Tattoos And Piercings Home Facebook from lookaside.fbsbx.com
The parent or legal guardian must sign a new york state department of health consent form (doh 5072) in the presence of the owner of the body art establishment or in the presence of the body artist. Written parental consent is not required for piercing of the … Mar 13, 2019 · body piercing, branding, and tattooing. Violations of texas tattooing & body piercing statute are a class a misdemeanor, with each day of violation counting as a separate offense. Ink link® offers the finest in tattooing and body piercing. Misrepresenting one's age to get a tattoo, or to get a piercing without parental consent, is a class b misdemeanor. How to give consent states that require written consent for body art have safeguards in place to prevent forgeries. Understand the terms of an event or activity that will be performed.

The word piercing can refer to the act or practice of body piercing, or to an opening in the body created by this act or practice.

Understand the terms of an event or activity that will be performed. Written parental consent is not required for piercing of the … Misrepresenting one's age to get a tattoo, or to get a piercing without parental consent, is a class b misdemeanor. Stick tattoo company is located in the heart of morgantown, wv inside of suncrest towne centre. Requires an annual license fee for a tattoo, body piercing and permanent cosmetic artists/shops. Violations of texas tattooing & body piercing statute are a class a misdemeanor, with each day of violation counting as a separate offense. We are located at the spot 691 n military trail, west palm beach, florida , open seven days a week. The parent or legal guardian must sign a new york state department of health consent form (doh 5072) in the presence of the owner of the body art establishment or in the presence of the body artist. How to give consent states that require written consent for body art have safeguards in place to prevent forgeries. Ink link® offers the finest in tattooing and body piercing. The law addresses body piercing as a form of body art; It can also, by metonymy, refer to the resulting. Backed by some of the regions most talented.

Tattoo And Piercing Consent Form / Faq United States Dark Water Studio - How to give consent states that require written consent for body art have safeguards in place to prevent forgeries.. Misrepresenting one's age to get a tattoo, or to get a piercing without parental consent, is a class b misdemeanor. A consent form gives written permission to another party to perform an activity or host an event and indicates the signatory understands the terms of the activity or event. Backed by some of the regions most talented. We are located at the spot 691 n military trail, west palm beach, florida , open seven days a week. Tattoo and permanent cosmetic artists are required to be certified;

LihatTutupKomentar